4. Neutron reflectometry use#
import torch
import numpy as np
import matplotlib.pyplot as plt
from reflectorch import EasyInferenceModel, interp_reflectivity
torch.manual_seed(0); # set seed for reproducibility
In this tutorial, we build upon the concepts introduced in the previous tutorial, where we demonstrated inference on XRR data, by highlighting key considerations specific to NR data.
4.1. Handling linear resolution smearing#
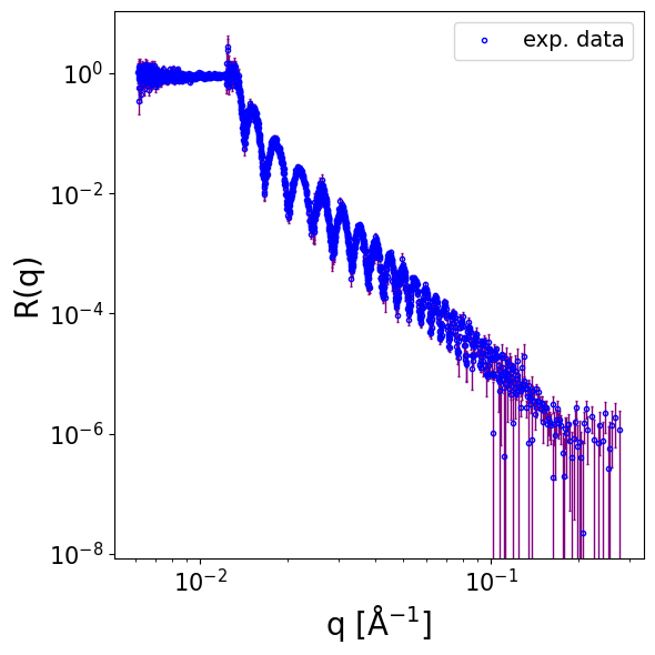
We consider the following NR data for a 1-layer stucture of Ni on Si (air as ambient), measured at a resolution dq/q = 0.1 (i.e. 10%):
data = np.loadtxt('../exp_data/Ni500.dat', delimiter='\t', skiprows=0)
print(data.shape)
q_exp = data[..., 0]
curve_exp = data[..., 1]
sigmas_exp = data[..., 2]
print(curve_exp.shape, q_exp.shape, q_exp.min(), q_exp.max())
print(sigmas_exp.shape, sigmas_exp.max(), sigmas_exp.min(), (sigmas_exp / curve_exp).max())
(174, 3)
(174,) (174,) 0.01333 0.22399
(174,) 8.83715e-05 4.23214e-07 0.3282606076124776
Show code cell source
fig, ax = plt.subplots(1,1,figsize=(6,6))
ax.set_yscale('log')
ax.set_xlabel('q [$Å^{-1}$]', fontsize=20)
ax.set_ylabel('R(q)', fontsize=20)
ax.tick_params(axis='both', which='major', labelsize=15)
ax.tick_params(axis='both', which='minor', labelsize=15)
y_tick_locations = [10**(-2*i) for i in range(6)]
ax.yaxis.set_major_locator(plt.FixedLocator(y_tick_locations))
el = ax.errorbar(q_exp, curve_exp, fmt='o', markersize=2, linewidth=1,zorder=2,
yerr=sigmas_exp, xerr=None, color='blue', ecolor='blue', elinewidth=1, capsize=2, barsabove=False,
label='experimental data')
elines = el.get_children()
elines[1].set_color('green')
ax.legend(loc='upper right', fontsize=14)
<matplotlib.legend.Legend at 0x296ee1fc9a0>

We initialize an inference object for a model trained for neutron reflectometry and a standard parameterization with 1 layer (for more details on the EasyInferenceModel
class see the previous tutorial):
config_name = 'b_mc_point_neutron_conv_standard_L1_InputQDq'
inference_model = EasyInferenceModel(config_name=config_name,
device='cpu',
)
Configuration file `D:\Github Projects\reflectorch\reflectorch\configs\b_mc_point_neutron_conv_standard_L1_InputQDq.yaml` found locally.
Weights file `D:\Github Projects\reflectorch\reflectorch\saved_models\model_b_mc_point_neutron_conv_standard_L1_InputQDq.safetensors` found locally.
Model b_mc_point_neutron_conv_standard_L1_InputQDq loaded. Number of parameters: 4.98 M
The model corresponds to a `standard_model` parameterization with 1 layers (5 predicted parameters)
Parameter types and total ranges:
- thicknesses: [1.0, 1000.0]
- roughnesses: [0.0, 60.0]
- slds: [-8.0, 16.0]
Allowed widths of the prior bound intervals (max-min):
- thicknesses: [0.01, 1000.0]
- roughnesses: [0.01, 60.0]
- slds: [0.01, 5.0]
The model was trained on curves discretized at exactly 128 uniform points, between q_min in [0.001, 0.03] and q_max in [0.1, 0.4]
The model was trained with linear resolution smearing (dq/q) in the range [0.01, 0.1]
The following quantities are additional inputs to the network: prior bounds, q values, the resolution dq/q.
We interpolate the data to a discretization suitable for this model:
q_model, exp_curve_interp = inference_model.interpolate_data_to_model_q(q_exp, curve_exp)
print(q_model.shape, q_model.min(), q_model.max())
print(exp_curve_interp.shape)
(128,) 0.01333 0.22399
(128,)
We set some prior bounds for the parameters:
prior_bounds = [(300., 900.), #layer thicknesses (top to bottom)
(0., 20.), (0., 20.), #interlayer roughnesses (top to bottom)
(9., 11.), (3., 5.)] #real layer slds: Ni, glass
For performing the prediction we need to provide the q_resolution
argument. When this argument is a float, its meaning is dq/q. This value is always used for simulating the reflectivity curve corresponding to the predicted parameters and as a keyword argument to the reflectivity function during polishing. Depending on the training scenario, it might also be used as an additional input to the network.
prediction_dict = inference_model.predict(
reflectivity_curve=exp_curve_interp,
prior_bounds=prior_bounds,
q_values=q_model,
q_resolution=0.1,
polish_prediction=True,
calc_pred_curve=True,
calc_pred_sld_profile=True,
calc_polished_sld_profile=True,
)
print(prediction_dict.keys())
pred_params = prediction_dict['predicted_params_array']
pred_curve = prediction_dict['predicted_curve']
dict_keys(['predicted_params_object', 'predicted_params_array', 'param_names', 'predicted_curve', 'predicted_sld_profile', 'predicted_sld_xaxis', 'polished_params_array', 'polished_curve', 'sld_profile_polished'])
Show code cell source
fig, ax = plt.subplots(1,2,figsize=(12,6))
ax[0].set_yscale('log')
ax[0].set_xlabel('q [$Å^{-1}$]', fontsize=20)
ax[0].set_ylabel('R(q)', fontsize=20)
ax[0].tick_params(axis='both', which='major', labelsize=15)
ax[0].tick_params(axis='both', which='minor', labelsize=15)
y_tick_locations = [10**(-2*i) for i in range(6)]
ax[0].yaxis.set_major_locator(plt.FixedLocator(y_tick_locations))
el = ax[0].errorbar(q_exp, curve_exp, yerr=sigmas_exp, xerr=None, c='b', ecolor='purple', elinewidth=1,
marker='o', linestyle='none', markersize=3, label='exp. curve', zorder=1)
elines = el.get_children()
elines[1].set_color('purple')
ax[0].plot(q_model, prediction_dict['predicted_curve'], c='red', lw=2, label='pred. curve')
ax[0].plot(q_model, prediction_dict['polished_curve'], c='orange', ls='--', lw=2, label='polished pred. curve')
handles, labels = ax[0].get_legend_handles_labels()
order = [2, 0, 1]
ax[0].legend(
[handles[i] for i in order],
[labels[i] for i in order],
loc='upper right',
fontsize=14
)
ax[1].set_xlabel('z [$Å$]', fontsize=20)
ax[1].set_ylabel('SLD [$10^{-6} Å^{-2}$]', fontsize=20)
ax[1].tick_params(axis='both', which='major', labelsize=15)
ax[1].tick_params(axis='both', which='minor', labelsize=15)
ax[1].plot(prediction_dict['predicted_sld_xaxis'], prediction_dict['predicted_sld_profile'], c='red')
ax[1].plot(prediction_dict['predicted_sld_xaxis'], prediction_dict['sld_profile_polished'], c='orange', ls='--')
plt.tight_layout()

n_layers = inference_model.trainer.loader.prior_sampler.max_num_layers
for param_name, pred_param_val, polished_param_val in zip(prediction_dict["param_names"], pred_params, prediction_dict["polished_params_array"]):
print(f'{param_name.ljust(14)} -> Predicted: {pred_param_val:.2f} Polished: {polished_param_val:.2f}')
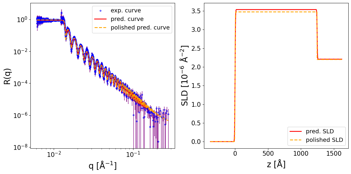
Thickness L1 -> Predicted: 498.53 Polished: 497.37
Roughness L1 -> Predicted: 6.45 Polished: 5.65
Roughness sub -> Predicted: 7.68 Polished: 9.39
SLD L1 -> Predicted: 10.24 Polished: 10.24
SLD sub -> Predicted: 3.92 Polished: 3.87
Next, we load data for a different measurement of a similar structure (also Ni on Si). The differences are that the Ni layer is thicker, the resolution is dq/q = 0.015 (i.e. 1.5 %) and the data has a constant background.
data = np.loadtxt('../exp_data/Ni_on_glass.dat', delimiter='\t', skiprows=0)
print(data.shape)
q_exp = data[..., 0]
curve_exp = data[..., 1]
print(curve_exp.shape, q_exp.shape, q_exp.min(), q_exp.max())
(757, 2)
(757,) (757,) 0.00508981 0.175655
We load a model which has the background as an additional predicted parameter:
config_name = 'e_mc_point_neutron_conv_standard_L1_InputQDq_n256_size1024'
inference_model = EasyInferenceModel(config_name=config_name,
device='cpu',
)
Configuration file `D:\Github Projects\reflectorch\reflectorch\configs\e_mc_point_neutron_conv_standard_L1_InputQDq_n256_size1024.yaml` found locally.
Weights file `D:\Github Projects\reflectorch\reflectorch\saved_models\model_e_mc_point_neutron_conv_standard_L1_InputQDq_n256_size1024.safetensors` found locally.
Model e_mc_point_neutron_conv_standard_L1_InputQDq_n256_size1024 loaded. Number of parameters: 20.24 M
The model corresponds to a `standard_model` parameterization with 1 layers (7 predicted parameters)
Parameter types and total ranges:
- thicknesses: [1.0, 1500.0]
- roughnesses: [0.0, 60.0]
- slds: [-8.0, 16.0]
- r_scale: [0.9, 1.1]
- log10_background: [-10.0, -4.0]
Allowed widths of the prior bound intervals (max-min):
- thicknesses: [0.01, 1500.0]
- roughnesses: [0.01, 60.0]
- slds: [0.01, 5.0]
- r_scale: [0.01, 0.2]
- log10_background: [0.01, 6.0]
The model was trained on curves discretized at exactly 256 uniform points, between q_min in [0.001, 0.02] and q_max in [0.05, 0.4]
The model was trained with linear resolution smearing (dq/q) in the range [0.01, 0.12]
The following quantities are additional inputs to the network: prior bounds, q values, the resolution dq/q.
prior_bounds = [
(300., 900.), #layer thicknesses (top to bottom)
(0., 20.), (0., 20.), #interlayer roughnesses (top to bottom)
(9., 11.), (3., 5.), #layer slds: Ni, glass
(0.9, 1.1), #intensity scaling factor
(-10, -4), #log10 background
]
q_model, exp_curve_interp = inference_model.interpolate_data_to_model_q(q_exp, curve_exp)
print(q_model.shape, q_model.min(), q_model.max())
print(exp_curve_interp.shape)
(256,) 0.00508981 0.175655
(256,)
Now we provide the new value of dq/q as argument:
prediction_dict = inference_model.predict(
reflectivity_curve=exp_curve_interp,
prior_bounds=prior_bounds,
q_values=q_model,
q_resolution=0.015,
polish_prediction=True,
calc_pred_curve=True,
calc_pred_sld_profile=True,
calc_polished_sld_profile=True,
)
print(prediction_dict.keys())
pred_params = prediction_dict['predicted_params_array']
pred_curve = prediction_dict['predicted_curve']
dict_keys(['predicted_params_object', 'predicted_params_array', 'param_names', 'predicted_curve', 'predicted_sld_profile', 'predicted_sld_xaxis', 'polished_params_array', 'polished_curve', 'sld_profile_polished'])
n_layers = inference_model.trainer.loader.prior_sampler.max_num_layers
for param_name, pred_param_val, polished_param_val in zip(prediction_dict["param_names"], pred_params, prediction_dict["polished_params_array"]):
print(f'{param_name.ljust(14)} -> Predicted: {pred_param_val:.2f} Polished: {polished_param_val:.2f}')
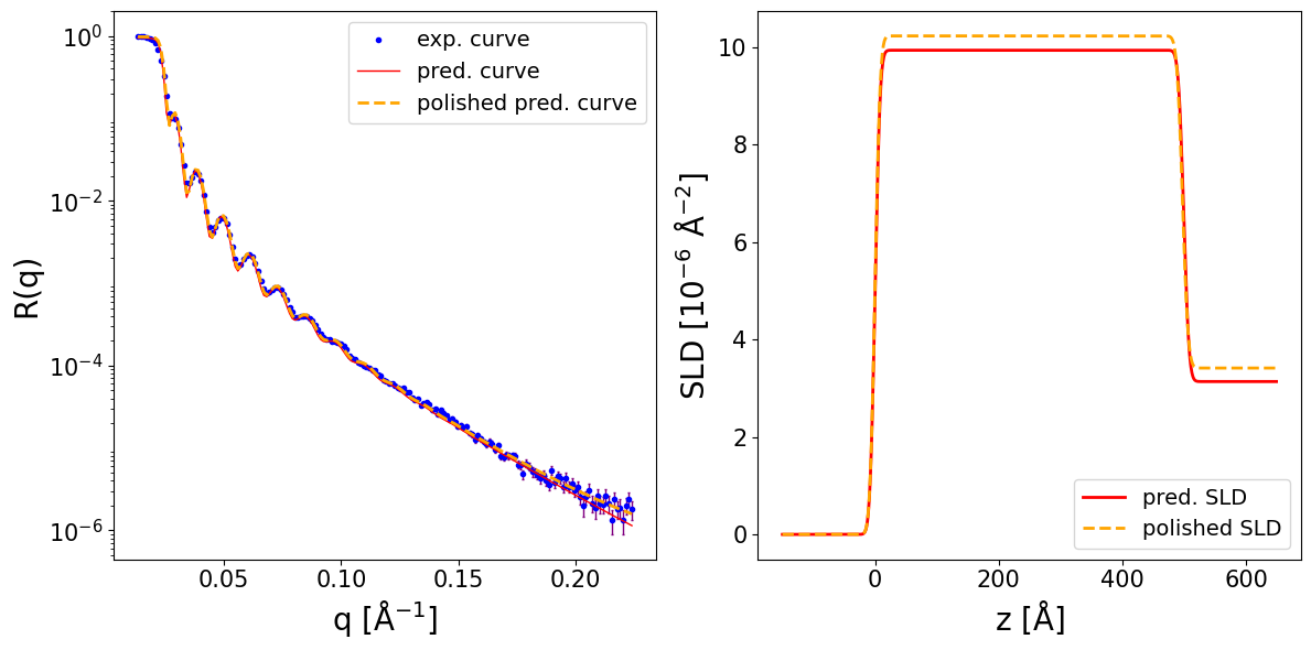
Thickness L1 -> Predicted: 812.66 Polished: 826.98
Roughness L1 -> Predicted: 8.42 Polished: 8.14
Roughness sub -> Predicted: 1.35 Polished: 0.00
SLD L1 -> Predicted: 9.05 Polished: 9.17
SLD sub -> Predicted: 3.85 Polished: 4.00
r_scale -> Predicted: 0.97 Polished: 0.91
log10_background -> Predicted: -4.17 Polished: -4.00
Show code cell source
fig, ax = plt.subplots(1,2,figsize=(12,6))
ax[0].set_yscale('log')
ax[0].set_xlabel('q [$Å^{-1}$]', fontsize=20)
ax[0].set_ylabel('R(q)', fontsize=20)
ax[0].tick_params(axis='both', which='major', labelsize=15)
ax[0].tick_params(axis='both', which='minor', labelsize=15)
y_tick_locations = [10**(-2*i) for i in range(6)]
ax[0].yaxis.set_major_locator(plt.FixedLocator(y_tick_locations))
el = ax[0].errorbar(q_exp, curve_exp, yerr=None, xerr=None, c='b', ecolor='purple', elinewidth=1,
marker='o', linestyle='none', markersize=3, label='exp. curve', zorder=1)
ax[0].plot(q_model, prediction_dict['predicted_curve'], c='red', lw=2, label='pred. curve')
ax[0].plot(q_model, prediction_dict['polished_curve'], c='orange', ls='--', lw=2, label='polished pred. curve')
handles, labels = ax[0].get_legend_handles_labels()
order = [2, 0, 1]
ax[0].legend(
[handles[i] for i in order],
[labels[i] for i in order],
loc='upper right',
fontsize=14
)
ax[1].set_xlabel('z [$Å$]', fontsize=20)
ax[1].set_ylabel('SLD [$10^{-6} Å^{-2}$]', fontsize=20)
ax[1].tick_params(axis='both', which='major', labelsize=15)
ax[1].tick_params(axis='both', which='minor', labelsize=15)
ax[1].plot(prediction_dict['predicted_sld_xaxis'], prediction_dict['predicted_sld_profile'], c='red')
ax[1].plot(prediction_dict['predicted_sld_xaxis'], prediction_dict['sld_profile_polished'], c='orange', ls='--')
plt.tight_layout()

4.2. Handling pointwise resolution smearing#
We load NR data of a thick silicon oxide layer on top of a silicon substrate. Notably the data is in 4 colums format [q, R, dR, dQ], the last column being the pointwise resolution smearing. We remove the last part of the curve which has high error bars.
data = np.loadtxt('../exp_data/D17_SiO.dat', skiprows=3)
print(data.shape)
max_point_no = 2050
q_exp = data[0:max_point_no, 0]
curve_exp = data[0:max_point_no, 1]
sigmas_exp = data[0:max_point_no, 2]
q_res_exp = data[0:max_point_no, 3]
print(curve_exp.shape, q_exp.shape, q_exp.min(), q_exp.max())
print(sigmas_exp.shape, sigmas_exp.max(), sigmas_exp.min(), (sigmas_exp / curve_exp).max())
print(q_res_exp.shape, (q_res_exp / q_exp).min(), (q_res_exp / q_exp).max())
(2166, 4)
(2050,) (2050,) 0.00610735 0.114432
(2050,) 1.39997 1.14757e-06 10.44030349303302
(2050,) 0.01295813163759255 0.019083468130430558
#conf_name = 'e_mc_point_neutron_conv_standard_L1_InputQDq_n128_size1024'
conf_name = 'e_mc_point_neutron_conv_standard_L1_InputQDq_n256_size1024'
inference_model = EasyInferenceModel(config_name=conf_name,
device='cpu',
)
Configuration file `D:\Github Projects\reflectorch\reflectorch\configs\e_mc_point_neutron_conv_standard_L1_InputQDq_n256_size1024.yaml` found locally.
Weights file `D:\Github Projects\reflectorch\reflectorch\saved_models\model_e_mc_point_neutron_conv_standard_L1_InputQDq_n256_size1024.safetensors` found locally.
Model e_mc_point_neutron_conv_standard_L1_InputQDq_n256_size1024 loaded. Number of parameters: 20.24 M
The model corresponds to a `standard_model` parameterization with 1 layers (7 predicted parameters)
Parameter types and total ranges:
- thicknesses: [1.0, 1500.0]
- roughnesses: [0.0, 60.0]
- slds: [-8.0, 16.0]
- r_scale: [0.9, 1.1]
- log10_background: [-10.0, -4.0]
Allowed widths of the prior bound intervals (max-min):
- thicknesses: [0.01, 1500.0]
- roughnesses: [0.01, 60.0]
- slds: [0.01, 5.0]
- r_scale: [0.01, 0.2]
- log10_background: [0.01, 6.0]
The model was trained on curves discretized at exactly 256 uniform points, between q_min in [0.001, 0.02] and q_max in [0.05, 0.4]
The model was trained with linear resolution smearing (dq/q) in the range [0.01, 0.12]
The following quantities are additional inputs to the network: prior bounds, q values, the resolution dq/q.
Show code cell source
fig, ax = plt.subplots(1,1,figsize=(6,6))
ax.set_yscale('log')
ax.set_xlabel('q [$Å^{-1}$]', fontsize=20)
ax.set_ylabel('R(q)', fontsize=20)
ax.tick_params(axis='both', which='major', labelsize=15)
ax.tick_params(axis='both', which='minor', labelsize=15)
y_tick_locations = [10**(-2*i) for i in range(6)]
ax.yaxis.set_major_locator(plt.FixedLocator(y_tick_locations))
el = ax.errorbar(q_exp, curve_exp, fmt='o', markersize=2, linewidth=1,zorder=2,
yerr=sigmas_exp, xerr=q_res_exp, color='blue', ecolor='blue', elinewidth=1, capsize=2, barsabove=False,
label='experimental data')
elines = el.get_children()
elines[1].set_color('green')
ax.legend(loc='upper right', fontsize=14)
<matplotlib.legend.Legend at 0x2968075dac0>

prior_bounds = [
(500., 1500.), #layer thicknesses (top to bottom)
(0., 30.), (0., 30.), #interlayer roughnesses (top to bottom)
(3, 4), (1.7, 2.5), #layer slds (top to bottom)
(0.9, 1.1), #intensity scaling factor
(-10, -4), #log10 background
]
q_model, exp_curve_interp = inference_model.interpolate_data_to_model_q(q_exp, curve_exp)
print(q_model.shape, q_model.min(), q_model.max())
print(exp_curve_interp.shape)
(256,) 0.00610735 0.114432
(256,)
Notably, here we have to also manually interpolate the q resolution array to the model grid. This will be provided as the q_resolution
argument of the predict
method.
q_res_interp = np.interp(q_model, q_exp, q_res_exp)
print(q_res_exp.shape, q_res_interp.shape, q_res_exp.shape, (q_res_interp / q_model).min(), (q_res_interp / q_model).max())
(2050,) (256,) (2050,) 0.012970237769559695 0.018944584008420546
prediction_dict = inference_model.predict(reflectivity_curve=exp_curve_interp,
prior_bounds=prior_bounds,
q_values=q_model,
q_resolution=q_res_interp,
clip_prediction=True,
polish_prediction=True,
calc_pred_curve=True,
calc_pred_sld_profile=True,
calc_polished_sld_profile=True,
)
print(prediction_dict.keys())
pred_params = prediction_dict['predicted_params_array']
pred_curve = prediction_dict['predicted_curve']
dict_keys(['predicted_params_object', 'predicted_params_array', 'param_names', 'predicted_curve', 'predicted_sld_profile', 'predicted_sld_xaxis', 'polished_params_array', 'polished_curve', 'sld_profile_polished'])
n_layers = inference_model.trainer.loader.prior_sampler.max_num_layers
for param_name, pred_param_val, polished_param_val in zip(prediction_dict["param_names"], pred_params, prediction_dict["polished_params_array"]):
print(f'{param_name.ljust(14)} -> Predicted: {pred_param_val:.2f} Polished: {polished_param_val:.2f}')
Thickness L1 -> Predicted: 1209.83 Polished: 1245.83
Roughness L1 -> Predicted: 4.23 Polished: 5.94
Roughness sub -> Predicted: 1.38 Polished: 9.35
SLD L1 -> Predicted: 3.39 Polished: 3.45
SLD sub -> Predicted: 1.78 Polished: 2.09
r_scale -> Predicted: 0.90 Polished: 1.02
log10_background -> Predicted: -10.00 Polished: -10.00
Show code cell source
fig, ax = plt.subplots(1,1,figsize=(14,6))
ax.set_yscale('log')
ax.set_xlabel('q [$Å^{-1}$]', fontsize=20)
ax.set_ylabel('R(q)', fontsize=20)
ax.tick_params(axis='both', which='major', labelsize=15)
ax.tick_params(axis='both', which='minor', labelsize=15)
y_tick_locations = [10**(-2*i) for i in range(6)]
ax.yaxis.set_major_locator(plt.FixedLocator(y_tick_locations))
el = ax.errorbar(q_exp, curve_exp, yerr=sigmas_exp, xerr=q_res_exp, c='b', ecolor='purple', elinewidth=1,
marker='o', linestyle='none', markersize=3, label='exp. curve', zorder=1)
elines = el.get_children()
elines[1].set_color('purple')
#ax.plot(q_model, pred_curve, c='red', lw=2, label='pred. curve', zorder=2)
ax.plot(q_model, prediction_dict['polished_curve'], c='orange', lw=2, label='polished pred. curve')
handles, labels = plt.gca().get_legend_handles_labels()
order = [1, 0]
ax.legend([handles[i] for i in order], [labels[i] for i in order], loc='upper right', fontsize=14)
fig, ax = plt.subplots(1,1,figsize=(6,6))
ax.set_xlabel('z [$Å$]', fontsize=20)
ax.set_ylabel('SLD [$10^{-6} Å^{-2}$]', fontsize=20)
ax.tick_params(axis='both', which='major', labelsize=15)
ax.tick_params(axis='both', which='minor', labelsize=15)
ax.plot(prediction_dict['predicted_sld_xaxis'], prediction_dict['predicted_sld_profile'], c='red')
ax.plot(prediction_dict['predicted_sld_xaxis'], prediction_dict['sld_profile_polished'], c='orange', ls='--')
[<matplotlib.lines.Line2D at 0x296817b9070>]


4.3. Structures with ambient medium (fronting) different than air#
We load neutron reflectometry (NR) data for a multilayer structure composed of silicon/silicon oxide/polymer/D₂O. Notably, the ambient medium in this case is not air, meaning the ambient SLD is non-zero. Although all models in Reflectorch are trained assuming an ambient SLD of zero, inference on data with non-zero ambient SLD is still valid. This is due to the invariance property of reflectivity under uniform SLD shifts, where R(SLD(z)) = R(SLD(z)+A) for any constant A.
data = np.loadtxt('../exp_data/ORSO_example.ort')
print(data.shape)
max_point_no = 350 #remove part of the data with high error bars
q_exp = data[0:max_point_no, 0]
curve_exp = data[0:max_point_no, 1]
sigmas_exp = data[0:max_point_no, 2]
q_res_exp = data[0:max_point_no, 3]
print(curve_exp.shape, q_exp.shape, q_exp.min(), q_exp.max())
print(sigmas_exp.shape, sigmas_exp.max(), sigmas_exp.min(), (sigmas_exp / curve_exp).max())
print(q_res_exp.shape, (q_res_exp / q_exp).min(), (q_res_exp / q_exp).max())
(408, 4)
(350,) (350,) 0.00806022 0.26145
(350,) 0.125959 1.19257e-07 0.2542693029005862
(350,) 0.017461305621930916 0.018550916324345
Show code cell source
fig, ax = plt.subplots(1,1,figsize=(6,6))
ax.set_yscale('log')
ax.set_xlabel('q [$Å^{-1}$]', fontsize=20)
ax.set_ylabel('R(q)', fontsize=20)
ax.tick_params(axis='both', which='major', labelsize=15)
ax.tick_params(axis='both', which='minor', labelsize=15)
y_tick_locations = [10**(-2*i) for i in range(6)]
ax.yaxis.set_major_locator(plt.FixedLocator(y_tick_locations))
el = ax.errorbar(q_exp, curve_exp, fmt='o', markersize=2, linewidth=1,zorder=2,
yerr=sigmas_exp, xerr=q_res_exp, color='blue', ecolor='blue', elinewidth=1, capsize=2, barsabove=False,
label='experimental data')
elines = el.get_children()
elines[1].set_color('green')
ax.legend(loc='upper right', fontsize=14)
<matplotlib.legend.Legend at 0x29682dd4d00>

config_name = "b_mc_point_neutron_conv_standard_L2_InputQDq"
inference_model = EasyInferenceModel(config_name=config_name,
device='cpu',
)
Configuration file `D:\Github Projects\reflectorch\reflectorch\configs\b_mc_point_neutron_conv_standard_L2_InputQDq.yaml` found locally.
Weights file `D:\Github Projects\reflectorch\reflectorch\saved_models\model_b_mc_point_neutron_conv_standard_L2_InputQDq.safetensors` found locally.
Model b_mc_point_neutron_conv_standard_L2_InputQDq loaded. Number of parameters: 5.04 M
The model corresponds to a `standard_model` parameterization with 2 layers (8 predicted parameters)
Parameter types and total ranges:
- thicknesses: [1.0, 500.0]
- roughnesses: [0.0, 60.0]
- slds: [-8.0, 16.0]
Allowed widths of the prior bound intervals (max-min):
- thicknesses: [0.01, 500.0]
- roughnesses: [0.01, 60.0]
- slds: [0.01, 5.0]
The model was trained on curves discretized at exactly 128 uniform points, between q_min in [0.001, 0.03] and q_max in [0.1, 0.4]
The model was trained with linear resolution smearing (dq/q) in the range [0.01, 0.1]
The following quantities are additional inputs to the network: prior bounds, q values, the resolution dq/q.
prior_bounds = [(10., 40.), (50., 500.), #layer thicknesses: SiOx, polymer
(1.0, 20.0), (1.0, 20.0), (1.0, 20.0), #interlayer roughnesses: Si/SiOx, SiOx/polymer, polymer/D2O
(2.5, 4.0), (1., 5.), (6.3, 6.4)] #layer slds: SiOx, polymer, D2O
q_model, exp_curve_interp = inference_model.interpolate_data_to_model_q(q_exp, curve_exp)
print(q_model.shape, q_model.min(), q_model.max())
print(exp_curve_interp.shape)
(128,) 0.00806022 0.26145
(128,)
q_res_interp = np.interp(q_model, q_exp, q_res_exp) #pointwise resolution smearing
print(q_res_exp.shape, q_res_interp.shape, q_res_exp.shape, (q_res_interp / q_model).min(), (q_res_interp / q_model).max())
(350,) (128,) (350,) 0.017461305621930916 0.018550916324345
For inference we need to additionally provide the SLD of the ambient medium (here silicon) as the ambient_sld
argument of the predict
method:
prediction_dict = inference_model.predict(reflectivity_curve=exp_curve_interp,
prior_bounds=prior_bounds,
q_values=q_model,
q_resolution=q_res_interp,
ambient_sld=2.07, #Si
clip_prediction=False,
polish_prediction=True,
calc_pred_curve=True,
calc_pred_sld_profile=True,
calc_polished_sld_profile=True
)
print(prediction_dict.keys())
pred_params = prediction_dict['predicted_params_array']
pred_curve = prediction_dict['predicted_curve']
dict_keys(['predicted_params_object', 'predicted_params_array', 'param_names', 'predicted_curve', 'predicted_sld_profile', 'predicted_sld_xaxis', 'polished_params_array', 'polished_curve', 'sld_profile_polished'])
n_layers = inference_model.trainer.loader.prior_sampler.max_num_layers
for param_name, pred_param_val, polished_param_val in zip(prediction_dict["param_names"], pred_params, prediction_dict["polished_params_array"]):
print(f'{param_name.ljust(14)} -> Predicted: {pred_param_val:.2f} Polished: {polished_param_val:.2f}')
Thickness L2 -> Predicted: 38.21 Polished: 37.31
Thickness L1 -> Predicted: 255.88 Polished: 259.63
Roughness L2 -> Predicted: 7.65 Polished: 8.07
Roughness L1 -> Predicted: 12.62 Polished: 9.83
Roughness sub -> Predicted: 3.17 Polished: 1.00
SLD L2 -> Predicted: 3.57 Polished: 3.56
SLD L1 -> Predicted: 2.34 Polished: 2.61
SLD sub -> Predicted: 6.36 Polished: 6.30
Show code cell source
fig, ax = plt.subplots(1,2,figsize=(12,6))
ax[0].set_yscale('log')
ax[0].set_xlabel('q [$Å^{-1}$]', fontsize=20)
ax[0].set_ylabel('R(q)', fontsize=20)
ax[0].tick_params(axis='both', which='major', labelsize=15)
ax[0].tick_params(axis='both', which='minor', labelsize=15)
y_tick_locations = [10**(-2*i) for i in range(6)]
ax[0].yaxis.set_major_locator(plt.FixedLocator(y_tick_locations))
el = ax[0].errorbar(q_exp, curve_exp, yerr=sigmas_exp, xerr=q_res_exp, c='b', ecolor='purple', elinewidth=1,
marker='o', linestyle='none', markersize=3, label='exp. curve', zorder=1)
elines = el.get_children()
elines[1].set_color('purple')
ax[0].plot(q_model, pred_curve, c='red', lw=2, label='pred. curve', zorder=2)
ax[0].plot(q_model, prediction_dict['polished_curve'], c='orange', lw=2, label='polished pred. curve')
handles, labels = ax[0].get_legend_handles_labels()
order = [2, 0, 1]
ax[0].legend([handles[i] for i in order], [labels[i] for i in order], loc='upper right', fontsize=14)
ax[1].set_xlabel('z [$Å$]', fontsize=20)
ax[1].set_ylabel('SLD [$10^{-6} Å^{-2}$]', fontsize=20)
ax[1].tick_params(axis='both', which='major', labelsize=15)
ax[1].tick_params(axis='both', which='minor', labelsize=15)
ax[1].plot(prediction_dict['predicted_sld_xaxis'], prediction_dict['predicted_sld_profile'], c='red')
ax[1].plot(prediction_dict['predicted_sld_xaxis'], prediction_dict['sld_profile_polished'], c='orange', ls='--')
plt.tight_layout()
